研究生培养

通知公告 当前位置: 首页 > 研究生培养 > 通知公告 > 正文

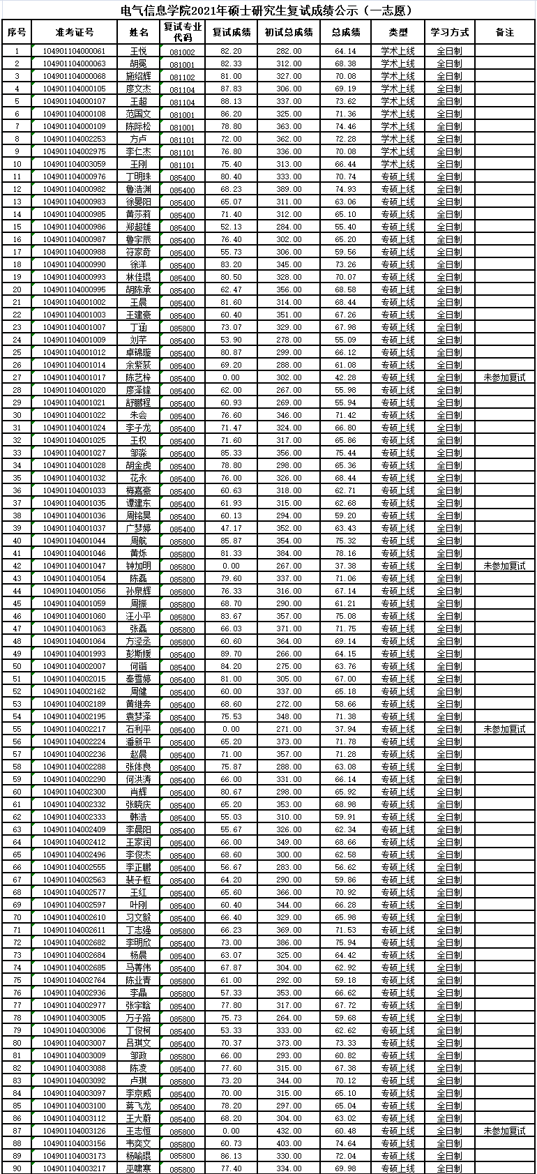
best365网页版登录2021年硕士研究生复试成绩公示(一志愿)

发布时间:2021-04-02  发布者: 点击阅读数:

备注:
1.成绩核算公式:总成绩=(初试总成绩/5)*70%+复试成绩*30%;
2.录取原则:以总成绩排序录取;复试成绩不合格者不予录取(低于60分为不合格);
3.监督电话:027-87992157;邮箱:43503743@qq.com

Baidu
sogou